Aarhus University Seal

Changes in hydrology affects stream nutrient uptake and primary production in a high-Arctic stream

New publication by Louis J. Skovsholt, Ada Pastor, Catherine L. Docherty, Alexander M. Milner & Tenna Riis

Abstract:

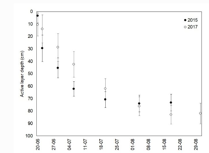
  Global change is predicted to have a marked impact on freshwater ecosystems in the High Arctic, including temperature increase, enhanced precipitation, permafrost degradation and increased vegetation cover. These changes in river catchments can alter flow regime, solute transport to streams and substantially affect stream ecosystem functioning. The objective of this study was to evaluate changes in stream functioning in a high-Arctic stream in relation to changes in discharge, and runoff flow path. We measured environmental factors, biofilm structure, nutrient uptake rates and metabolism. We studied three reaches in a headwater stream in NE Greenland with different catchment characteristics in early and late summer (during two different years) to evaluate the potential influence of environmental change on Arctic stream ecosystem functioning. Highest nutrient uptake, primary production and ecosystem respiration was found in late summer showing that streams are more efficient at retaining nutrients and have higher autotrophic production, likely due to less impact of snowmelt, and lower discharge increasing the surface to volume ratio between streambed and water column. Nutrient uptake rates in late summer from high-Arctic tundra streams were comparable to uptake rates in temperate pristine streams, likely due to no shading by bank vegetation and longer days in the high-Arctic summer compared to temperate streams. Overall, the results of this study aids in the endeavor of predicting how climate-derived changes will affect in-stream nutrient uptake and metabolism in high-Arctic streams. The results suggest that their capacity to transport, cycle and retain carbon and nutrient may increase if the importance of soil water flow paths for streams also increase, thus with effect to stream trophic relations and solute export to coastal areas.

https://doi.org/10.1007/s10533-020-00719-x