Aarhus University Seal

Decreasing carbonate load of seagrass leaves with increasing latitude

New publication by Inés Mazarrasa, Núria Marbà, Dorte Krause-Jensen, Hilary Kennedy, Rui Santos, Catherine E. Lovelock, Carlos M. Duarte.

Abstract:

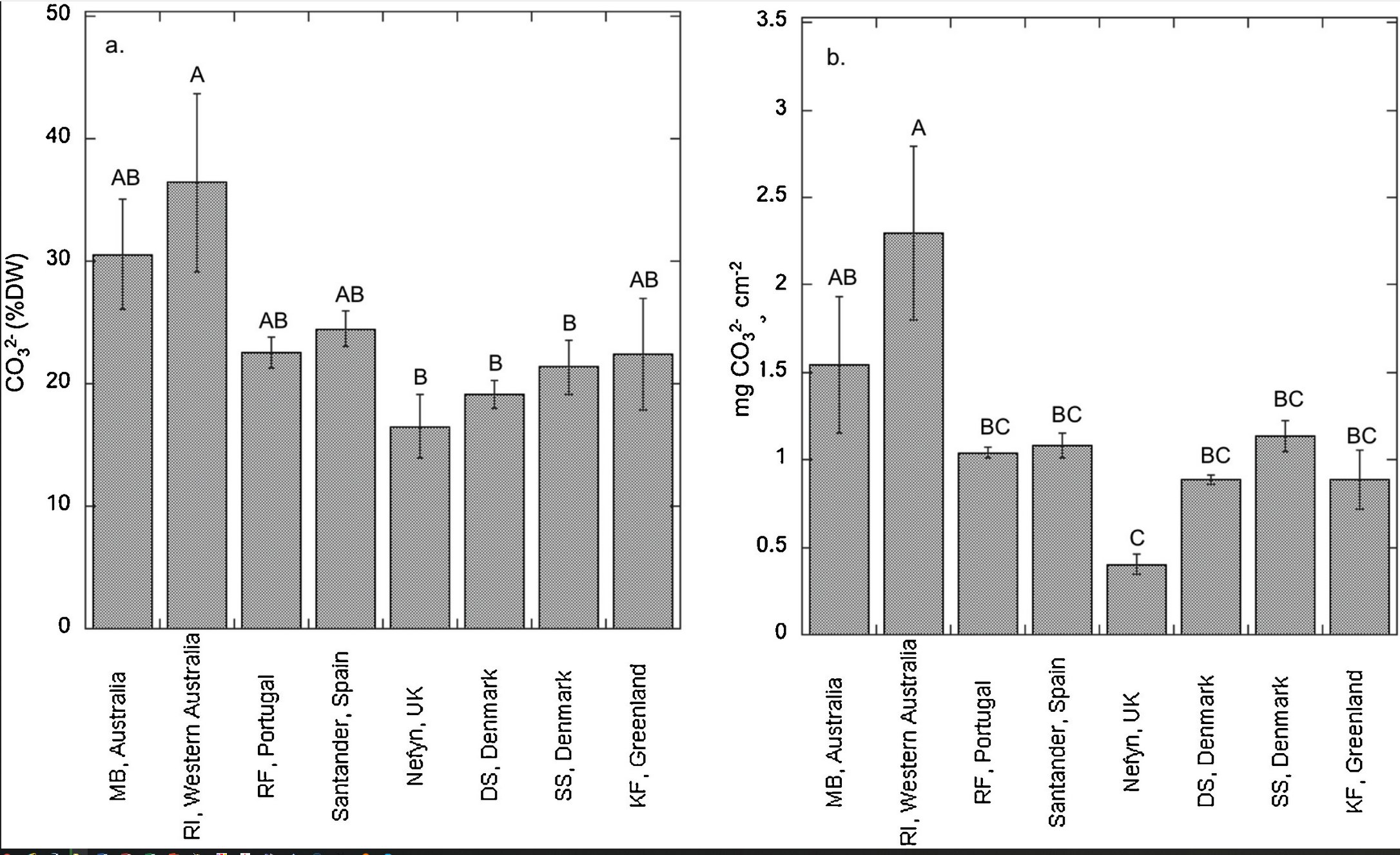
Seagrass meadows play a significant role in the formation of carbonate sediments, serving as a substrate for carbonate-producing epiphyte communities. The magnitude of the epiphyte load depends on plant structural and physiological parameters, related to the time available for epiphyte colonization. Yet, the carbonate accumulation is likely to also depend on the carbonate saturation state of seawater (Ω) that tends to decrease as latitude increases due to decreasing temperature and salinity. A decrease in carbonate accumulation with increasing latitude has already been demonstrated for other carbonate producing communities. The aim of this study was to assess whether there was any correlation between latitude and the epiphyte carbonate load and net carbonate production rate on seagrass leaves. Shoots from 8 different meadows of the Zostera genus distributed across a broad latitudinal range (27 °S to up to 64 °N) were sampled along with measurements of temperature and Ω. The Ω within meadows significantly decreased as latitude increased and temperature decreased. The mean carbonate content and load on seagrass leaves ranged from 17% DW to 36% DW and 0.4–2.3 mg CO3 cm−2, respectively, and the associated mean carbonate net production rate varied from 0.007 to 0.9 mg CO3 cm−2 d-1. Mean carbonate load and net production rates decreased from subtropical and tropical, warmer regions towards subpolar latitudes, consistent with the decrease in Ω. These results point to a latitudinal variation in the contribution of seagrass to the accumulation of carbonates in their sediments which affect important processes occurring in seagrass meadows, such as nutrient cycling, carbon sequestration and sediment accretion.

https://doi.org/10.1016/j.aquabot.2019.103147