Aarhus University Seal

Styring af makroskopiske molekylære mønstre er nu muligt på AU

Nanoteknologi handler om at kunne styre materialer på nanoskalaen og nu har forskere på AU vist at de kan dække makroskopiske overflader med mønstre i en bestemt form i et lag kun ét molekyle tykt. Af Denis Selnihhin.

Overfladen katalyserer reaktioner

Overfladen er en grænseflade, hvor mange spændende katalysereaktioner foregår. Hvis man kan få forskellige molekyler til at adsorbere på en bestemt måde på overfladen, så de er placeret energetisk favorabelt i forhold til hinanden – vil man kunne nedbringe reaktionens energetiske barriere og få accelereret reaktionen mellem molekylerne.

Og det er en rigtig god grund til at være fascineret af overflader og molekylets ordning på dem. For nyligt har forskerne fra AU beskrevet hvordan organiske molekyler kan ordne sig på grafitoverfladen i mønstre og dække makroskopiske arealer med et lag, der er kun en molekyle tykt (Shen, Cramer et al. 2012).

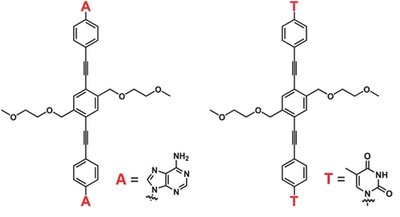
Man har kigget på et organisk molekyle, der består af tre aromatiske ringe. De tre ringe er koblet til hinanden via to karbon atomer med en trippel binding mellem de to. Den midterste aromatiske ring har to æter-arme. De to yderste aromatiske ringe ender på to forskellige enheder: adenine og thymine (Figur 1). Og selvom det meste af molekylet er ens og kun enderne er forskellige, har det en stor betydning på mønsterets arrangement.

Figur 1. Strukturer af undersøgte organiske molekyler. Det meste af strukturen, der er vist i sort var ens og kun enderne, der er vist som røde bogstav A og T, har varieret.

 

Ordning af molekyler på overfladen sker helt automatisk

Den måde strukturerne dannes på er ret simpel: grafit overfladen nedsænkes i en opløsning med et af de to beskrevne molekyler i en halv time ved rumtemperaturet. Herefter skylles prøverne med ætanol og tørres med nitrogen, før de bliver analyseret med Skanning Tunnel Mikroskopi(STM). (http://inano.au.dk/da/outreach/nanovidensbank/nano-ordbogen/skanning-tunnel-mikroskop-stm/).

Molekylet som har adenine baser i enderne arrangerer sig på linear vis: på en måde hvor adeninen fra det ene molekyle peger i retningen af adeninen af det andet molekyle. Samtidig danner molekylets æter-arme et ekstra stabiliseringspunkt (Figur 2). I dette arrangement er enhedscellen(det gentagne mønster i strukturen) et rektangel. Forskerne observerede også domæner med forskellige retninger – altså domæner med samme molekyleordning, men forskellig retning, vist med de hvide pile (Figur 2a).

Figur 2. Ordning af adenine-molekylet.  (a) Selvsamling af molekylet med adenine ender skete i en lineær konfiguration og man kan se rette linjer af ordnede molekyler på overfladen. (b) Enhedscellen - er et rektangel (c) Skematisk repræsentation af selvsamlingsmønsteret: adenine ender af to forskellige molekyler peger mod hinanden.

Ordningen af molekyler med thymine i enderne var lidt mere kompliceret, men resultatet gav også et kompliceret mønster (Figur 3). Thymine enderne havde tendens til at samle sig i et punkt og på den måde kunne seks molekyle peger ind i det samme punkt, mens æter armene fra tre forskellige molekyler mødtes i midten. Det dannede mønster lignede sekskantede stjerner, der dækkede hele overfladen. Enhedscellen i sådan et mønster er et parallelogram.

Figur 3. Ordning af thymine-molekylet.  (a) Sekskantet stjerne-mønster der dækker hele overfladen. (b) Enhedscellen er et parallelogram (c) Skematisk repræsentation af selvsamlingsmønster: thymine ender af seks forskellige molekyler peger mod hinanden og danner et sekskantet mønster.

 

Forskerne overvejer, som næste trin, at tilføje nogle semi-reaktive grupper til enderne. I første omgang kunne man tænke sig at ordne molekyler på overfladen og derefter tilføje reaktionskatalysatorer for at linke molekylerne sammen, for derved at få et helt tæppe af sammenhængende molekyler.

 

 

Shen, C., J. Cramer, et al. (2012). "Steering supramolecular patterns by nucleobase-terminated molecules." Chemical communications (Cambridge, England)49(5): 508-510.