Aarhus University Seal

Temporal changes in size-at-maturity of black dogfish Centroscyllium fabricii

New publication by Rasmus Hedeholm, Trine Qvist, Julius Nielsen, Peter Grønkjær

Abstract:

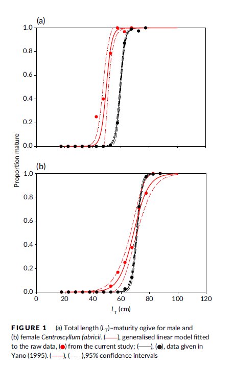
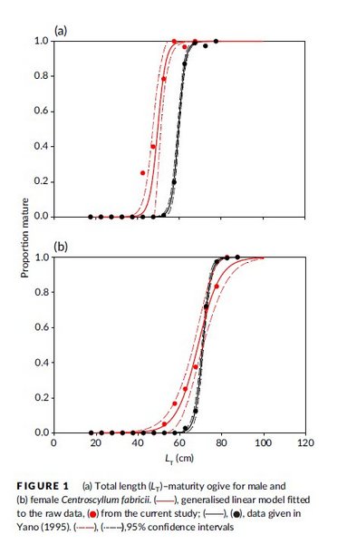
By examining the maturity of 283 black dogfish Centroscyllium fabricii from Greenland waters, a shift in size-at-maturity in both sexes over the past 25 years is observed. Size-at-first maturity decreased approximately 10 cm in both sexes, and L50 and L95 shifted similarly in males, but not in females. It is argued that bycatch in the Greenland halibut Reinhardtius hippoglossoides fishery has contributed to the observed shift, but also emphasised that such a distinct change could have a methodological component as well as being subject to effects of environmental change.

DOI: 10.1111/jfb.14072